- 全國統一銷售熱線:
- 北京總部:
- 010-64437473
- 上海:
- 021-62113795
- 深圳:
- 0755-86241216
高壓清洗機之高壓噴嘴的理論計算分析
時間:2012-05-08 來源: http://m.yzhtsj.cn
高壓噴嘴噴口面積的大小對高壓清洗機有著非常重要的作用,若噴嘴噴口面積偏大,則會使高壓清洗機噴射平均動能大大下降,在有的系統中還會致使表壓不能直接反映噴口處噴射動能的實際變化。若噴嘴噴口面積偏小,又會產生嚴重的回流,同樣也會導致高壓清洗機噴射動能的下降。所以,為了充分發揮高壓清洗機的清洗效果,就要計算出相匹配的高壓噴嘴噴口面積。
公式(1)公式(1)中
—高壓噴嘴噴口面積
按照高壓清洗機之高壓膠管的理論計算分析選擇膠管由實驗和計算得知,從高壓泵排出口到噴口間的總水頭損失一般占泵額定工作壓力的5%-15%,則公式(1)可變為:
公式(2)公式(2)中 Κ —系數,取0.85-0.95,當流速較大且管路較長時取較小值,反之取較大值。
為工程應用方便,去掉公式(2)中符號的角碼,并取工程常用計算單位,則公式(2)可化為:
公式(3)中:Α —噴嘴噴口總面積,mm²
Q —泵額定流量,m³/h
Ρ —泵額定壓力,MPa
Κ —系數6.37-6.74,當流速較大且管路較長時取較大值,反之取較小值
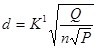
一般高壓清洗機噴嘴噴口處多為圓形,有的噴頭還有多個噴嘴,對于這種情況公式(3)可化為:
公式(4)公式(4)中:d —噴嘴噴口直徑,mm
n —直徑相同的噴嘴數量
Κ —系數2.85-2.93,當流速較大且管路較長時取較大值,反之取較小值
其余符號意義及單位和公式(3)相同,需要注意的是,采用上述公式計算時要注意以下幾點:
1、在利用公式(4)計算噴嘴直徑時,一定要保留小數點后一位數,千萬不要進行圓整,例如計算結果 d =1.8mm,若將其圓整為 d =2mm,則會導致噴嘴噴口面積誤差達23%,這樣一來上述計算討論都會失去意義。
2、上述公式(2)-(4)中,對常見形式的高壓噴嘴都適用的,但是對于在高壓噴嘴之前的高壓噴槍處混砂的夾砂噴嘴不適用,既使按夾砂量得出一個水的假密度,也不能代入公式(2)中計算。
3、對于具有回流裝置的高壓清洗機,有的生產廠家或用戶常常配備較小噴口的噴嘴,通過調節回流的流量的大小來調節泵的排出壓力,這種方法看似簡單,但其實是不可取的。這樣做的缺點首先是效率低下,其次是壓力表的升高值并不與高壓噴嘴噴射動能的增加值成線性關系,而且恰恰是噴射動能的增加值小于壓力表的升高值,亦即小于輸入功的增加值,從而造成不必要的浪費。所以當用戶需要降低高壓清洗機的壓力來使用時,生產廠家應該按照公式(3)、(4)配給不同規格的高壓噴嘴以提高噴射效率。
- 標簽:
- 高壓噴嘴噴口面積計算
- 高壓噴嘴口徑計算
- 高壓清洗機噴嘴大小計算
高壓噴槍操作人員使用安全注意事項
2017-04-07
高壓水拉毛技術驗收標準
2017-12-25
高壓清洗機溢流閥原理介紹
2015-01-22
高壓清洗機在鋁板帶清洗應用中射流打擊力
2012-07-02
高壓水射流破碎混凝土的優點
2018-07-04
高壓清洗機日常維護:噴嘴的磨損因素及更
2018-08-22
高壓水去毛刺機專用噴嘴介紹
2018-07-16
高壓水射流破碎混凝土的優點
2018-07-04
高壓清洗機在管道清洗時的注意事項
2018-06-28
高壓水射流清洗安全注意事項
2018-06-20



